※ : 製品一覧(パラメトリックサーチ)
※ : 製品一覧(パラメトリックサーチ)
※ : 製品一覧(パラメトリックサーチ)
※ : 製品一覧(パラメトリックサーチ)
※ : 製品一覧(パラメトリックサーチ)
※ : 製品一覧(パラメトリックサーチ)
※ : 製品一覧(パラメトリックサーチ)
※ : 製品一覧(パラメトリックサーチ)
本機能は Internet Explorer 11 ではご利用頂けません。最新のGoogle Chrome, Microsoft Edge, Mozilla Firefox, Safariにてご利用ください。
品番は3文字以上指定して下さい。 複数品番の検索はこちら。
クロスリファレンスでは参考品名が表示されますので、製品に関する最新の情報をデータシート等でご確認の上、単独およびシステム全体で十分に評価し、お客様の責任において適用可否を判断してください。参考にしている情報は、取得した時点の各メーカーの公式情報に基づいた当社の推定によるものです。当社は、情報の正確性、完全性に関して一切の保証をいたしません。また、情報は予告なく変更されることがあります。
品番は3文字以上指定して下さい。
オンラインディストリビューターが保有する東芝製品の在庫照会および購入が行えるサービスです。
出力コンデンサーCOUTの容量を大きくすることが負荷過渡応答の改善に有効です。
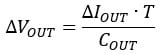
急峻な負荷変動におけるLDO出力電圧の変化量⊿VOUTと出力コンデンサーCOUTは次の関係式で表すことができます。そのため、出力コンデンサーCOUTの容量を大きくするとLDO出力電圧の変化量⊿VOUTが小さくなり、負荷過渡応答が改善されます。ただし、容量増加によりオン直後の LDO 出力電圧 VOUT 立ち上がり特性、突入電流(インラッシュカレント)および発振等に注意する必要があります。詳細につきましては、アプリケーションノート「LDOの負荷過渡応答と改善方法」を参照願います。
※上式は簡略化された概算の式です。
※セラミックコンデンサの場合は電圧依存がございますので、実効容量値にてご検討ください。
COUT : コンデンサー容量値
∆VOUT : LDO出力電圧の変化量
∆IOUT : LDO出力電流の変化量
T : コンデンサーに電流が流れる時間
以下の資料にも関連する説明がありますので、ご参照ください。